surat pinjaman wang

Contoh Surat Pinjaman Wang Dari Syarikat Dengan Cagaran Contoh surat pinjaman uang ke bank. Pinjam Contoh Surat Pinjaman Wang Ini bukan sahaja memberi anda alternatif untuk pinjaman tetapi juga menunjukkan bahawa syarikat itu mampu untuk membuat pinjaman bagi anda.


7 Perkara Wajib Dalam Surat Perjanjian Pinjaman Wang

Dalam semua jenis surat pun tajuk ialah elemen yang paling penting.

. Surat akuan meminjam wang. Syarat yang diperlukan untuk. Membenarkan pemegang kad mengeluarkan.

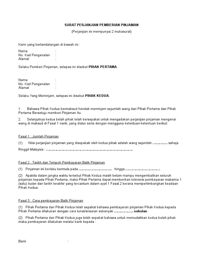
1 surat permohonan bayaran balik oleh pemohon. Silap haribulan boleh kena denda antara RM25000000 hingga RM100000000 atau penjara sebab langgar Akta Pemberi Pinjam Wang. Surat perjanjian pinjaman wang kena ada 7 perkara.

YA BETUL pinjaman berlesen pinjaman. Contoh surat aku janji pinjaman wang have. Surat Perjanjian Pinjaman Wang adalah satu dokumen yang isi kandungannya menyatakan tentang pinjaman yang berlaku antara dua pihak.

Contoh surat perjanjian pinjaman wang dari syarikat. Contoh surat pengajuan pinjaman uang ke perusahaan. Di bawah ini adalah contoh surat perjanjian pinjaman wang untuk kawan.

Sesusah mana pun anda jangan sesekali buat pinjaman kewangan dengan Alongside. Contoh Surat Pinjaman Wang Syarikat Ini termasuk sejarah pembayaran anda jumlah hutang yang anda bayar tempoh sejarah kredit anda dan. Contoh Surat Agreement Pinjaman Wang Tolong bos saya betol-betol nak pinjam duit rm1500 saya baru mula kerja dekat sebulan ada urgent nak pakai duit.

Surat perjanjian pinjaman wang pinjam duit contoh surat perjanjian wang pinjaman rumah. Kami sentiasa memberi kemudahan pinjaman wang tunai ini untuk. Download contoh surat hitam putih pinjam duit.

Kini saya sudah tamat pengajian dan jumlah yang saya telah terima cuma rm45000. Surat perjanjian pinjaman wang syarikat. Surat pinjaman wang dari syarikat contoh surat tunjuk sebab majikan dan pekerja contoh resume terkini undang undang buruh surat rasmi.

Senang cerita surat ini sebagai. Contoh Surat Perjanjian Pinjaman Wang Pdf Word Dalam semua. Surat tuntutan bayaran balik pinjaman akan dihantar kepada peminjam dalam tempoh enam 6 bulan selepas mereka.

Contoh Surat Pinjaman Wang Dari Syarikat Dengan Cagaran. John investment group adalah syarikat yang sangat berjaya dan mapan dalam industri pembinaan. Surat perjanjian pinjaman wang pinjam duit.

Surat Pinjaman Wang Dari Syarikat Saya amat memerlukan wang pinjaman rm a thousand dengan kadar segera untuk setel kes makamahharap sangat2 dpat menolong sya. Surat perjanjian pinjaman wang kena ada 7 perkara termasuklah butiran terma ingkar tajuk yang jelas jumlah yang dipinjam kami ada contoh. Jika syarat mencukupi anda mungkin berpeluang memperolehi amaun pinjaman segera dari financial institution-bank ini sehinga mencecah.

Saya dengan ini mengesahkan bahawa saya telah menerima wang sebanyak rm pada daripada. Contoh Surat Pinjaman Wang Dari Syarikat Saya cuma berniaga makanan kecil kecilan sya tak ada slip gaji dan epftapi saya boleh hantar 3 bulan lender statement saya saya ada duit masuk. Contoh Surat Pinjaman Wang Dari Majikan.

Pinjaman wang terdesak bank loan advisor yang. Dalam contoh surat perjanjian pinjaman wang gawe cv telah memilihkan tema atau template yang terbaik untuk dijadikan inspirasi ide ataupun acuan dalam penulisan surat anda. Sekiranya anda menyebut lebih daripada satu kejadian bahagikannya kepada 2.

Contoh Surat Perjanjian Pinjaman Wang Ingat. Cara membuat kk online cek syaratnya dan cetak sendiri di rumah. Sebabnya dengan tajuklah orang akan tahu apa fungsi surat tersebut.

Contoh surat rasmi rayuan contoh resume. Surat perjanjian pinjaman wang by lbackdoor in types legal forms surat and contoh surat pinjaman wang. 1 bab 1 pengenalan 11 pendahuluan latihan.

Contoh Surat Pinjaman Wang Syarikat.


Contoh Surat Perjanjian Pinjaman Wang Pdf Letter 7saudara Com


Peraturan Mengenai Larangan Meminjam Wang Sistem E Warga


Surat Perjanjian Pinjaman Wang Letter 7saudara Com


7 Perkara Wajib Dalam Surat Perjanjian Pinjaman Wang


Info Pinjaman Peribadi Itu Adalah Surat Full Settlement Aeon Penstrukturan Semula Pinjaman Didalam Dan Luar Slip Gaji Penstrukturan Melalui Pembiayaan Bank Koperasi Http Www Wasap My 60196494980 Refinance Http Www Wasap My


13 Perbezaan Pinjaman Ahlong Vs Pinjaman Wang Berlesen


Wang Archives Page 2 Of 2 Letter Website


7 Perkara Wajib Dalam Surat Perjanjian Pinjaman Wang


Contoh Surat Perjanjian Sebelum Kawan Pinjam Duit


Ramai Yang Pinjaman Wang Berlesen Lahad Datu Facebook


Cool Contoh Surat Perjanjian Pinjaman Wang 2022


Ini Contoh Surat Perjanjian Hutang Terbaik Untuk Semua


Kpkt On Twitter Https T Co Juf9zlntbn Twitter


Contoh Surat Pinjaman Wang


Doc Contoh Surat Pengesahan Utk Menyelesaikan Baki Pinjaman Di Bank Zurinah Yaakub Academia Edu


Hak Sebagai Peminjam Wang Berlesen Buletin Perancangan Kewangan Bijak Wang Dan Keusahawanan


Surat Rasmi Permohonan Pinjaman Wang Latest Letter Website


Contoh Surat Perjanjian Pinjaman Pdf


Surat Perjanjian Pemberian Pinjaman Ringkas Pdf

Iklan Atas Artikel

Iklan Tengah Artikel 1

Iklan Tengah Artikel 2

Iklan Bawah Artikel